Cetusan idea untuk DIY Light Box aka Mini Studio ini ialah dari padin. Method 3 SMS to 36266.
JOIN MRDIY x GLADE KEMPEN CERIA TO WIN PRIZES UP TO RM150000.

Kempen ceria diy. Kempen Ceria MRDIY x Glade Peti surat 3279 47507 Subang Jaya Selangor Darul Ehsan. There are 3 ways you can join the contest after purchase Method 1 Online Contest Form Scan barcode on A5 tent card provided at cashier counter answer 1 question and fill in your details Method 2 Physical. Method 2 Physical Contest Form Answer 1 question and fill in details on the physical form.
Scan barcode on A5 tent card provided at MRDIY cashier counter answer 1 question and fill in your details. Kempen Ceria MRDIY x Glade Peti surat 3279 47507 Subang Jaya Selangor Darul Ehsan. Method 2 Physical Contest Form Answer 1 question and fill in details on the physical form.
Share your videos with friends family and the world. Hantarkan bukti pembelian di nombor Whatsapp 013-737 0176 berserta Tajuk Contest KEMPEN CERIA RAYA TAMPIL BERGAYA Nama No IC No Tel Email dan Nama Outlet Pembelian. Method 2 Physical Contest Form Answer 1 question and fill in details on the physical form.
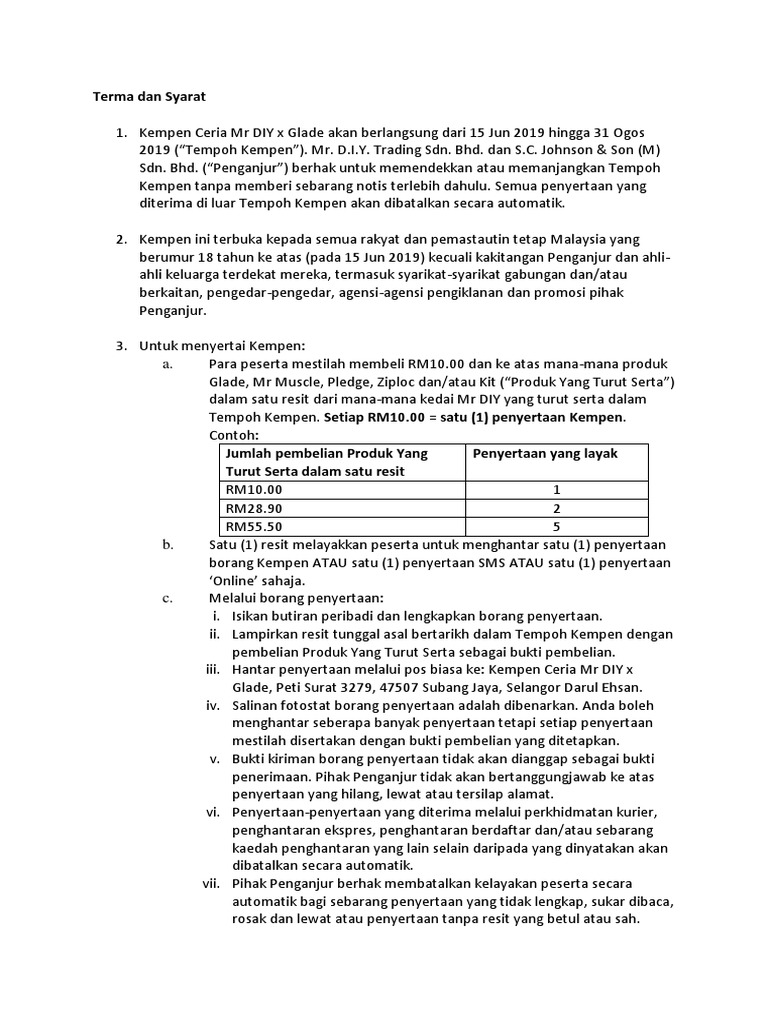
Kempen Ceria Mr DIY x Glade akan berlangsung dari 15 Jun 2019 hingga 31 Ogos 2019 Tempoh Kempen. Method 2 Physical Contest Form Answer 1 question and fill in details on the physical form. Kempen Ceria MRDIY x Glade Peti surat 3279 47507 Subang Jaya Selangor Darul Ehsan.
Method 3 SMS to 36266. Tahun 4 5 6Untuk makluman semua guru skdp terdapat perubahan pada takwim sekolah berikutan dengan situasi semasa yang sedang kita hadapi. Rancangan Tahunan Kelab Rukun Negara Sekolah Rendah - Aktiviti Kelab Rukun Negara 2020.
Kempen Ceria MRDIY x Glade Peti surat 3279 47507 Subang Jaya Selangor Darul Ehsan. Method 1 Online Contest Form - Scan barcode on A5 tent card provided at cashier. KEMPEN CERIA MRDIY X SC JOHNSON Now you can win a car just by spending minimum RM10 in a single receipt on any Sc Johnson brand Glade MrMuscle Ziploc Kit.
Congratulations to all winners of MRDIY X SCJ Kempen Ceria Contest. Our goal is to become the largest contest collection in malaysia. Peraduan telah berakhir KEMPEN CERIA MRDIY X SC JOHNSON.
You will be able to categorize search and select the contest that suits you best anytime anywhere. Penganjur berhak untuk memendekkan atau memanjangkan Tempoh Kempen tanpa memberi sebarang notis terlebih dahulu. Method 3 SMS to 36266.
Scan barcode on A5 tent card provided at MRDIY cashier counter answer 1 question and fill in your details. With the presence of Mrjay Aquino Sales Director of SC Johnson M Sdn. Syarat nak join kempen ni senang je.
Cara Mudah DIY Light Box aka Mini Studio Assalamualaikum dan salam ceria Cik tom nak kongsikan satu projek DIY cik tom bersama suami padin untuk buat Light Box atau mini studio. Kempen Ceria MRDIY x Glade Peti surat 3279 47507 Subang Jaya Selangor Darul Ehsan. Scan barcode on A5 tent card provided at MRDIY cashier counter answer 1 question and fill in your details.
Beli mana-mana produk makanan laut Pacific West dalam satu resit dimana-mana outlet di seluruh Malaysia. Johnson Son M Sdn. Scan barcode on A5 tent card provided at MRDIY cashier counter answer 1 question and fill in your details.
There are 3 ways you can join the contest after purchase Method 1 Online Contest Form Scan barcode on A5 tent card provided at cashier counter answer 1 question and fill in your. JOIN MRDIY x GLADE KEMPEN CERIA TO WIN PRIZES UP TO RM150000. Method 2 Physical Contest Form Answer 1 question and fill in details on the physical form.
Method 3 SMS to 36266. Spend a minimum RM10 in a single receipt on any SC Johnson. There are 3 ways you can join the contest after purchase.
If you like our website please give our Facebook page a and share to your family and friends. Now you can win a car just by spending minimum RM10 in a single receipt on any Sc Johnson brand Glade MrMuscle Ziploc Kit. Method 3 SMS to 36266.
KEMPEN CERIA MRDIY X SC JOHNSON Now you can win a car just by spending minimum RM10 in a single receipt on any Sc Johnson brand Glade MrMuscle Ziploc Kit. Spend a minimum RM10 in a single receipt on any SC Johnson brands Glade MrMuscle Ziploc Kit. Scan barcode on A5 tent card provided at MRDIY cashier counter answer 1 question and fill in your details.

Mr Diy My Mega Savings Reopening Sale Up To 50 Off Offer Ends Soon Milled
Mr Diy Congratulations To All Winners Of Mr Diy X Scj Facebook